Abstract
Background
Marginal zone lymphoma (MZL) is an indolent B-cell lymphoma with classical histopathological lesions and heterogeneous anatomical and clinical features. It is divided into three subtypes depending on the site of lymphoma involvement with extranodal MZL of mucosa-associated lymphoid tissue (MALT, ∼70%) being the most common, followed by splenic (SMZL, ∼20%) and nodal subtypes (NMZL, <10%). Although these subtypes differ with regard to biology and clinical presentation, MZLs are generally associated with long survival. However, a proportion of MZLs undergo transformation to large B-cell lymphoma characterized by aggressive clinical behavior and increased mortality. Population-based long-term data on transformation of MZL is lacking.
Aims
We estimated overall survival and the risk of transformation to large B-cell lymphoma in patients diagnosed with MZL in Finland in 1995−2018. We also compared mortality rates between the patients with or without transformation.
Methods
Patients diagnosed with incident MZL (ICD-O-3 morphology codes 9689/3 and 9699/3) and lymphoma not otherwise specified (NOS) (9590/3, 9591/3) in Finland between 1995 and 2018 were retrieved from the Finnish Cancer Registry (FCR). The Registry has an excellent coverage and provides accurate population-based nationwide data for all histologically verified cancers in Finland. The diagnosis of MZL and possible transformation were confirmed from the pathology reports. Transformation was defined as the diagnosis of morphologically verified large B-cell lymphoma at least 3 months after the primary diagnosis of MZL.
For all patients with histologically verified MZL, we collected data on subtype, gender, date of birth, MZL diagnosis and last follow-up (f-up), vital status at the end of f-up, and date of transformation. F-up for overall survival (OS) was completed on December 31, 2018. The patients with missing information regarding MZL subtype or incorrect diagnostic were excluded.
No patients were lost to f-up before the end of the study period, and none of the MZL diagnoses nor transformations were recorded by death certificate or autopsy only.
The start of the f-up was defined as the date of MZL diagnosis. OS and the cumulative risk of transformation were estimated by the Kaplan-Meier method. Analysis of total mortality was performed using Cox regression. Risk factors included age at diagnosis, year of diagnosis, gender, and MZL subtype. Transformation was treated as a time-varying covariate. All statistical analyses were performed using R, version 4.0.4.
Results
We identified 1341 patients diagnosed with MZL after above mentioned exclusions. Baseline characteristics, as well as subtype-specific rates of transformation and death, are shown in the Table 1. Median age at diagnosis was 68 years (IQR, 58−76; range, 13−95 years), with a slight female predominance (59%). MALT subtype was the most frequent, followed by SMZL and NMZL. There were no clinically significant differences in age at diagnosis between males and females nor in the MZL subtypes. Median follow-up time was 5.5 years (IQR, 2.1−10.5; range 0−24 years). The majority of the NMLZ patients were diagnosed during more recent years.
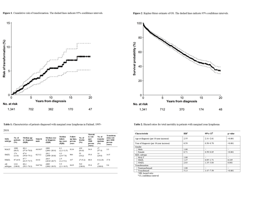
Transformation occurred in 47 patients during 9315 person-years of follow-up (crude transformation rate, 5.0 per 1000). The cumulative risk of transformation was 2.8% (95% CI, 1.7-3.8) at 5 years and 5.6% (95% CI, 3.8-7.3) at 10 years from diagnosis (Fig. 1), with no apparent plateau.
Overall, 519 (39%) patients died during a total f-up of 9435 person-years (crude mortality rate, 55.0 per 1000). In comparison, the crude mortality rate following transformation was 233.4 per 1000. OS was 66.2% (95% CI, 73.8−78.7) at 5 years and 58.9% (95% CI, 55.8−62.2) at 10 years from diagnosis (Fig. 2). After adjusting for potential confounders (age at diagnosis, gender, year of diagnosis, and MZL subtype), transformation was associated with a substantial increase in mortality (HR, 5.13; 95% CI, 3.47−7.59; p < 0.001) (Table 2).
Conclusions
In this large nationwide population-based study, the risk of transformation to large B-cell lymphoma was 5.6% at 10 years, and transformation was associated with a substantially increased risk of death. Long-term OS and baseline characteristics were in accordance with previously published data for MZL.
No relevant conflicts of interest to declare.
